近日,beat365官网机械工程学院刘涛博士在国际权威期刊《Engineering Structures》(中科院一区Top期刊)发表计算固体力学方向最新研究成果。beat365官网为论文第一单位,机械工程学院刘涛博士为第一作者,上海大学张顺琦教授为通讯作者。研究工作得到了国家自然科学基金、安徽省高校自然科学基金的资助。

(石墨烯增强功能梯度多孔板)
石墨烯增强功能梯度多孔材料具有质量轻、强度高等优点,被广泛应用于机械工程、土木工程、汽车和航空航天工程。在复杂的应用环境中,GPLs-FGP板常受到较大的热-机载荷作用,呈现较强的非线性行为。因此,非线性模型的精度对于准确预测GPLs-FGP板的热-机耦合非线性行为具有重要意义。传统建模方法大多只考虑石墨烯对结构热传导性能、非线性响应的影响。

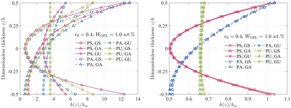
(石墨烯和孔隙分布对环氧树脂基和铜基GPLs-FGP板热传导的影响)

(机-热载荷下GPLs-FGP板的非线性静力学响应)

(孔隙系数和石墨烯质量分数对GPLs-FGP板非线性动力学响应的影响)
本研究将等几何分析(IGA)方法与一种四自由度精化板理论结合建立了GPLs-FGP板的热-机耦合非线性力学分析模型,利用微观力学模型和Maxwell-Eucken方程同时考虑了石墨烯和孔隙对材料传导性能的影响。通过对比分析,研究验证了所建模型对于GPLs-FGP板热-机耦合非线性响应分析的有效性和准确性。在此基础上,研究了石墨烯分布形式、石墨烯质量分数、孔隙分布形式、孔隙系数对于结构热传导、温度分布、非线性静力学和动力学响应的影响。
研究表明,孔隙的引入会降低石墨烯功能梯度多孔材料的热传导,而石墨烯可以有效增强材料的热传导;对于热传导较大的基体材料,孔隙对其热传导和温度分布影响较大,对于热传导较小的基体材料,更容易受石墨烯所影响;孔隙对石墨烯功能梯度材料热传导的影响,直接影响着结构的非线性响应,且该影响随孔隙系数的增大而增大。上述研究为石墨烯功能梯度多孔结构的设计和制造提供了理论依据。
论文链接:https://doi.org/10.1016/j.engstruct.2024.118827
(撰稿:刘涛 审核:郑近德 刘庆运 张苒 黄敏)